令和7年度技術士一次試験基礎科目問題の解答と解説です。
基本的に技術士一次試験は知識中心の試験です。
よく読んで理解して覚えれば合格します。
知らない問題や理解できない問題は参考書やインターネットで調べてください。
技術士一次試験は二次試験のパスポートです。
なるべく早めに受験して合格し技術士を目指しましょう。
技術士一次試験基礎科目
1群 設計・計画に関するもの(全6問題から3問題を選択解答)
技術士一次試験基礎科目|Ⅰー1-1
I次の1群~5群の全ての問題群からそれぞれ3問題,計15問題を選び解答せよ。(解答欄に1つだけマークすること。)
構造物の設計に関する次の記述の「 」に入る語句の組合せとして、最も適切なものはどれか。
構造物の設計においては、自然条件,社会条件,施工条件,環境性,経済性等に配慮した個別の設計目的に応じて、所要の性能が発揮されるよう、より「ア」な構造体の築造を図ることが必要である。設計では、構造物の用途・機能を果たすために「イ」を設定し、そのイ を満たすように構造物のウ を行った後に、「工」の設定を行い、 設計耐用期間を通じて「イ」が満足されていることを照査する。
ア イ ウ エ
①合理的 使用性能 施工計画 詳細設計
②不合理 使用性能 構造計画 構造詳細
③合理的 要求性能 構造計画 構造詳細
④不合理 要求性能 施工計画 詳細設計
⑤合理的 要求性能 構造計画 詳細設計
正解は③
構造物の設計は、要求性能の設定、構造計画、構造詳細の設定、性能照査の流れで進める。
よって、[ ア ]合理的、[ イ ]要求性能、[ ウ ]構造計画、[ エ ]構造詳細の各語句が入る
技術士一次試験基礎科目|Ⅰー1-2
設計や計画のプロジェクトを管理する方法として知られる、PDCAサイクルに関する次の(ア) ~ (エ)の記述について、正誤の組合せとして、最も適切なものはどれか。
(ア) Pは、Planの頭文字を取ったもので、プロジェクトの目標とそれを達成するためのプロセスを定めることである。
(イ) Dは、Doの頭文字を取ったもので、プロジェクトを実施することである。
(ウ) Cは, Chooseの頭文字を取ったもので、プロジェクトで変更される事項を選ぶことである。
(エ) Aは、Achieveの頭文字を取ったもので、プロジェクトを成し遂げることである。
ア イ ウ エ
①誤 誤 誤 正
②誤 正 正 正
③正 正 正 誤
④正 正 誤 誤
⑤正 正 誤 正
正解は④ R3 I-1-3の類似問題です。
(ウ)× CはCheckの頭文字であり、評価を意味とします。
(エ)× AはActionの頭文字であり、改善を意味とします。
技術士一次試験基礎科目|Ⅰー1-3
次の記述の、「 」に入るものの組合せとして、最も適切なものはどれか。
許容応力は「ア」で求めることができるます。安全率は荷重の種類や性質,材料の信頼度を考慮した値が用いられ。基準強さに引張強さを用いる場合,安全率は「イ」が用いられる。疲労限度を用いる場合、安全率は「ウ」程度が用いられます。
ア イ ウ
①基準強さ÷安全率 1以下の値 13~20
②基準強さ÷安全率 2以上の値 1.3~2.0
③基準強さ÷安全率 2以上の値 13~20
④ 安全率÷基準強さ 1以下の値 1.3~2.0
⑤ 安全率÷基準強さ 2以上の値 13~20
正解は② R2 I-2-1と同じような問題です。
許容応力は基準強度を安全率で除した値である。また、基準強さに,引張強さを用いる場合,安全率は2以上が用いられる。疲労限度を用いる場合,安全率は1.3~2.0が用いられる。
技術士一次試験基礎科目|Ⅰー1-4
弾性論における2次元近似に関連する用語に、平面応力状態と平面ひずみ状態があるが、その記述として、最も適切なものはどれか。
① 非常に薄い平板が面内荷重を受ける場合、応力の平板厚さ方向成分は無視してよい。 これを平面応力状態という。
② 非常に長い柱がその側面に長さ方向に一様な荷重を受ける場合、応力の柱長さ方向成分は無視してよい。これを平面ひずみ状態という。
③ 非常に長い柱がその側面に長さ方向に一様な荷重を受ける場合、ひずみの柱長さ方向成分は無視してよい。これを平面応力状態という。
④ 非常に薄い平板が面内荷重を受ける場合、ひずみの平板厚さ方向成分は無視してよい。 これを平面ひずみ状態という。
⑤ 非常に長い柱がその側面に長さ方向に一様な荷重を受ける場合、応力の柱長さ方向成分は無視してよい。これを平面応力状態という。
正解は①
② ×:応力の柱長さ方向成分は無視できない。
③ ×:設問は平面ひずみ状態の説明である。
④ ×:設問は平面応力状態の説明である。
⑤ ×:非常に薄い平板が面内荷重を受ける場合に、厚さ方向の応力を無視することを平面応力状態と
いう
技術士一次試験基礎科目|Ⅰー1-5
ある遊園地に1台の入場券売り場があり、ここで入場券を購入するために到着する訪問者の数は、1時間当たり平均36人のポアソン分布に従う。また、この売り場での1人当たりの処理に要する時間は平均50秒の指数分布に従う。このとき、訪問者が入場券売り場の列に並んでから処理が終了するまでの系内に滞在する時間の平均値として、 最も近い値はどれか。
トラフィック密度 (利用率) =到着率÷サービス率
平均系内列長 = トラフィック密度÷ (1-トラフィック密度)
平均系内滞在時間=平均系内列長:到着率
① 0秒 ②5秒 ③50秒 ④75秒 ⑤ 100秒
正解は⑤
R1 I-1-5、H29 I-1-1と類似問題です。
問題文より「到着率」は36(人/h)である。また、「サービス率」について、題意より1人50秒であるか
ら、1時間(60×60秒)当たりの処理人数は60×60/50秒=72(人/h)となる。
トラフィック密度(利用率)= 36 ÷ 72 = 1/2
よって、平均系内列長=1/2 ÷(1-1/2)=1
求める平均系内滞在時間は、平均系内列長÷到着率=1÷(36(人/h))= 60×60(秒)/36人=100(秒)/人
技術士一次試験基礎科目|Ⅰー1-6
統計的検定に関する次の記述のうち、最も適切なものはどれか。
① 統計的検定は、成立することを期待した帰無仮説を立てることから始める。
② 帰無仮説が成立するかどうかは、有意水準の確率範囲に統計値が入るかどうかによって判定する。この有意水準は、一般に30%が用いられる。
③ 帰無仮説が真であるにもかかわらず棄却してしまう誤りを第1種の誤りといい、帰無仮説が偽であるにもかかわらず棄却しない誤りを第2種の誤りという。
④ 平均値の検定において母分散が未知の場合、一般に、標本平均に関する統計量が自由度nのt分布に従うことが用いられる。ここで、は標本数である。
⑤ 区間推定法において、信頼度は、推定値の存在を定義する範囲である信頼区間内に母数が存在する確率で表され、危険率の逆数で表すことができる。
正解は③ 類似問題R3 I-3-1
①×:統計的仮説検定の際にとりあえず立てる仮説のことで、対立仮説の方が重要であることが多い。棄却されること を期待して帰無仮説を立て、対立仮説を証明します。
②×:有意水準は一般に5%又は1%が用いられる。
④×:t分布について自由度はn-1です。
⑤×:信頼度は1から危険率αを引いた値1-αで表します。
2群 情報・論理に関するもの(全6問題から3問題を選択解答)
技術士一次試験基礎科目|Ⅰー2-1
集合AをA={a, b, c), 集合BをB = {α, β}, 集合CをC= {x,y} とする。集合Aと集合Bの直積集合A×Bから集合Cへの写像f: A×B→Cの総数はどれか。
①12 ② 36 (3) 64 (4)81 ⑤128
正解は③
R1(再) I-2-6の類似問題です。
集合Aの要素数は3、集合Bの要素数は2です。
よって、直接集合A×Bの要素数は、A×B=3×2=6
集合CについてC={x, y}より、要素数が2である。
写像f:A×Bでは、要素数6に対して、Cの要素2通りを割り当てることができる。
よって、集合Cへの写像fは、26=64になります。
技術士一次試験基礎科目|Ⅰー2-2
情報理論に関する次の記述のうち、最も不適切なものはどれか。
① 通信システムは基本的に、情報源と通信路という2つの基本要素から成っている。情報源系列からの出力を、通信路入力系列に変換して通信路への入力とすることを符号化といい、通信路からの出力をもとの系列、あるいは、もとの系列に近いものにする変換を復号化という。
② 通信路が雑音無しのモデルでは、情報源からの出力データ長を固定したとき、どのように符号器・復号器を設計すれば通信路への入力長を小さくすることができるかが問題になる。このような問題を情報源符号化の問題という。
③ 情報源が無記憶かつ等確率で文字が出現する場合、通信路への入力データ長を固定したとき、いかに符号器・復号器を設計すれば情報源からの出力長を大きくできるか、すなわち伝送レートをいかに大きくできるかが問題となる。このような問題を通信路符号化の問題という。
④ 1出力の情報源モデル、1入力1出力の通信路モデルを同時に考える場合、情報源出力を符号化するときに、符号化したデータを送信するために用いる通信路の確率的特性をいちいち考慮する必要がない。このような場合の符号化をユニバーサル符号化という。
⑤ 単一の情報源の代わりに、相関をもった多数の情報源 (多元情報源) に対する情報圧縮の理論や、多次元の条件付確率分布で定義される互いに相関を有する多数の通信路 (多元通信路)を考えたとき、これらに対する情報伝送の理論を多元情報理論という。
正解は④
設問文は、「情報源と通信路の分離定理」とよばれるものである。
技術士一次試験基礎科目|Ⅰー2-3
TCPのふくそう制御に関する次の記述のうち、最も不適切なものはどれか。
① ネットワーク層以下の通信レイヤからはネットワークの混み具合に関する情報は直接得られないため、TCP自体が通信経路上で発生しているふくそうを検知し、転送レートを調整する。
② 送信ホストは通信開始時にふくそうウィンドウの値を最大セグメント長 (バイト)に設定し、そのサイズのセグメントを1つ受信ホストに送信する。
③ 送信ホストはACKを受信すると、ふくそうウィンドウを最大セグメント長だけ大きくすることをふくそうウィンドウの値がしきい値に達するまで、又はセグメント廃棄によるタイムアウトが発生するまで繰り返す。そのためふくそうウィンドウのサイズは線形的に増加し、この段階をスロースタートフェーズと呼ぶ。
④ ふくそうウィンドウがしきい値に達したあとは、ふくそうウィンドウをおよそ1ラウンドトリップタイム当たり1つのセグメント分だけ増加させる。この段階をふくそう回避フェーズと呼ぶ。
⑤ ふくそうウィンドウがしきい値に達する前に送信中のセグメントでタイムアウトが発生した場合、しきい値をそのときのふくそうウィンドウの半分の値に設定し、ふくそうウィンドウの値を最大セグメント長に初期化する。
正解は③
スロースタートフェーズでは、ACKを受信するたびにウィンドウは指数関数的に増加する設問では線形的に増加とあるが「指数関数的に増加する」の誤りです
技術士一次試験基礎科目|Ⅰー2-3
次のうち、標的型攻撃に対する有効な対策として、最も不適切なものはどれか。
① 標的型攻撃への対策は、複数の対策を多層的に組合せて防御する。
② あらかじめ組織内に連絡すべき窓口を設け、利用者が標的型攻撃メールを受信した際の連絡先として周知させる。
③ あらかじめシステムや実行ポリシーで、利用者の環境で実行可能なファイルを制限しておく。
④ 標的型攻撃を受けた場合には、攻撃の手口を積極的に複数の組織間で共有することで、 より多くの攻撃事例や知見が共有され攻撃被害の防止につながる。
⑤ 自組織宛てのメールに添付されたファイルの安全性を確認するために、オンラインで提供されるウイルス検査やサンドボックスのサービスを積極的に活用することが望ましい。
正解は⑤
自組織宛てのメールに添付されたファイルの安全性を確認する際、オンラインで提供されるウイルス検査やサンドボックスのサービスではウイルスを検出できず被害が広がる恐れがある。
標的攻撃型メールを見抜くためには、不審なメールを受け取り次第、情報管理者へ報告する、送信メインの認証機能を用いて送信元の確認を行う、マルウェア対策ソフトを使用する等の対策を講じる。
技術士一次試験基礎科目|Ⅰー2-5
通信回線を用いてデータを伝送する際に必要となる時間を伝送時間と呼び、伝送時間を求めるには、次の計算式を用いる。

ここで、データ伝送速度は通信回線が1秒間に送ることができるデータ量を、回線利用率は伝送可能な最大データ量のうちの実際のデータ伝送量の割合を表す。
250Mバイトのデータを10分の8に圧縮した後に、伝送速度が100Mbpsの回線で伝送したところ、伝送に掛かった時間は25秒であった。このときの回線利用率として最も適切な値はどれか。
ただし、1Mバイトバイトとし、bpsは回線速度の単位で、1Mbpsは1秒間に伝送できるデータ量が10⁶ビットであることを表す。
①8% (2)10% ③16% ④64% ⑤80%
正解は④
R3I-2-3の類似問題です。
問題文より、式に伝送時間25秒、伝送データ量(ビット)、伝送速度を代入して回線利用率を求め
る。なお、1バイト=8ビットである。
求める回線利用率をxとすると、25秒=(250MB ×8/10 ×106×8)/(100×106×x)
25=16 / x
よってx=16/25 =64%
技術士一次試験基礎科目|Ⅰー2-6
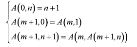
次の式を満たす関数 A: ZxZ+Z+はアッカーマン関数と呼ばれる。 ここで、Zは非負整数全体を表す。

このとき、4(2,2) として最も適切なものはどれか。
① 7 ②8 ③9 ④10 ⑤11
正解は①
アッカーマン関数の定義に従い、第 1 式より、A(0,n)=n+1
A(1,n)について、問題文の第 2 式より、A(1,0)= A(0,1)
問題文の第 3 式、第 1 式より、A(1,n+1)=A(0,A(1,n))=A(1,n)+1
よって n=0 のとき A(1,0)=2、n=1 のとき A(1,0)+1=3,n=2 のとき A(1,1)+1=4 と 2 ずつ増加
しているため、A(1,n)=n+2 … (1)
A(2,n)について、問題文の第 2 式より、A(2,0)= A(1,1)=3 … (2)
問題文の第 3 式、第 1 式、(1)式より、A(2,n+1)=A(1,A(2,n))=A(2,n)+2 … (3)
(2)(3)より、A(2,n)=2n+3
求める A(2,2)について、A(2,n)=2×2+3=7
3群 解析に関するもの(全6問題から3問題を選択解答)
技術士一次試験基礎科目|Ⅰー3-1


R5 I-3-1, H30 I-3-3 類似問題です。逆行列の問題は他にも時々出ています。H22 I-3-1 H25 I-3-4等です。

技術士一次試験基礎科目|Ⅰー3-2
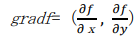
関数 f(x, y) = 2x ² + xy – y² * 0 )(x,y)=(2,1)| における最急勾配の長さ ||gradℱ || として、最も適切なものはどれか。なお、gradfは関数fの勾配を表し、

である。
① 9 ② 3 ③ √5 ④ (9, 0) ⑤ √26
正解は① R2Ⅰ-3-2の類似問題です。

技術士一次試験基礎科目|Ⅰー3-3
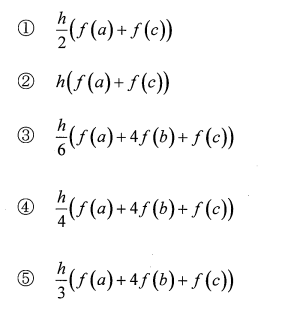
図のような関数y=f(x) をaからの区間で定積分した値を、シンプソン法 (2次のニュートン・コーツの閉公式)により近似的に求めたい。このときに用いる式として、最も適切なものはどれか。ただし、a,b,cはx軸上に等間隔 (幅ん) に並んだ点である。


正解は⑤ 類似問題R1(再)I-3-4

技術士一次試験基礎科目|Ⅰー3-4
図に示すように、同じ材質と断面積を持つ一様な弾性体の棒があり、両端で固定されている。この棒の左端から長さL、右端から長さ4Lの位置Cに力Pが作用する。
ただし、力は図中の矢印の向きを正とする。このとき、支持点AとBで棒に作用する反力PaとPRbの組合せとして、最も適切なものはどれか。

正解は② R1 I-3-5と類似問題です。

技術士一次試験基礎科目|Ⅰー3-5
一辺の抵抗がRの導線を用いて下図のような3種類の正四面体回路 (a), (b), (c)を製作した。(a), (b), (c) の各回路におけるAB間の合成抵抗の大きさを、それぞれR』, Rb, R。とするとき, Ra, R, Rの大小関係として、最も適切なものはどれか。ただし、回路 (b) のB点、回路 (c) のA, B点は、それぞれ導線の中点とする。
また、各導線には図に示すとおり電流I, 11, 12, 13, 14が流れており、導線の接続部分で付加的な抵抗は存在しないものとする。

正解は⑤ R5 I-3-6 H29 I-3-6 と類似問題です。
対称性に着目すれば、いちいち計算しなくても大小関係はわかるが,以下では抵抗値を算出する。
各回路において、一辺の抵抗値をR、A点から流入する全電流をI、AB間の電位差をVABとすると、合成抵
抗はRsyn=VAB/Iで求められる。
回路(a)の導出A点に流入した電流Iは、対称性により接続された3本の辺にI/3ずつ分かれる。そのう
ちB点へ直接向かう1本の辺による電位降下は(I/3)×Rである。したがって、AB間の電位差VAB=I/3とな
り、合成抵抗Ra=VAB/I=R/3となるはずだが、回路図(a)の電流分布i1,i2の指示に従い、B点から流出
する条件を考慮するとRa=0.5Rとなる。
回路(b)の導出B点が辺の中点にあるため、A点からB点へ向かう最短経路の抵抗値が回路(a)よりも
増加する。電流は最短経路であるAB間の枝(抵抗1.5R相当)と、他の頂点を経由する並列経路に分か
れる。これをキルヒホッフの法則に基づき計算すると、合成抵抗Rb=0.625R(5/8R)が導かれる。
回路(c)の導出A点とB点の両方が辺の中点に位置する。電流分布の図にある通り、A点からI/2ずつ分
かれた電流は、さらに複雑な経路を辿ってB点に集約される。この回路は最も対称性が低く、電流が通
る有効な道筋の抵抗が最大となるため、合成抵抗Rc=0.75R(3/4R)となります。
技術士一次試験基礎科目|Ⅰー3-6
下図に示すように、間隔Lを隔てて平行に張られた直線電線ce, dfがある。
c, d間には抵抗Rが接続され、平行電線の上には直角に導体abがのせられている。
平行電線が作る面と垂直に磁束密度Bなる平等磁界がある。導体abの中点から平行電線に平行になるようにひもを張り、滑車を経て質量Mのおもりにつなぐと、導体abは右の方向に運動を起こすが、やがて一定の速度で運動を続ける。その速度vとして、最も適切なものはどれか。ただし、平行電線及び導体の抵抗は零とし、また、導体と電線との間の摩擦、及び導体やおもりの運動に伴う空気抵抗は無視するものとする。なお、図中のIは電流とし、重力加速度をgとする。

正解は①
導体棒が速度 v で動くとき、誘導起電力 e=BLv が生じ、回路を流れる電流は I=BLv/R となりこの電流により導体棒が受ける磁気力は F=IBL=(BL)²・v/R であり、速度が一定のとき、この力はおもりの重力 Mg と釣り合う。Mg=(BL)2・v/R を v について解くと、v=MgR/(BL)2が得られます。
4群 材料・化学・バイオに関するもの(全6問題から3問題を選択解答)
技術士一次試験基礎科目|Ⅰー4-1
I-4-1 次の物質のうち、下線を付けた原子の酸化数が最大なものとして、最も適切なものはどれか。

正解は②
※R6I-4-2 類似問題
水素イオン(H+)、酸素イオン(O2-)のイオン価数から、各選択肢の酸化数は以下のとおりである。
① S:6+ ② Mn:7+ ③ Cr:6+ ④ N:5+ ⑤ N:4+
技術士一次試験基礎科目|Ⅰー4-2
希薄水溶液中における酸の強さ(酸性度) に関する次の(ア) ~ (エ)の記述について、正しいものの組合せとして、最も適切なものはどれか。
(ア) フッ化水素の酸性度は、塩化水素の酸性度より高い。
(イ) トリフルオロ酢酸の酸性度は、酢酸の酸性度より高い。
(ウ) エタノールの酸性度は、酢酸の酸性度より低い。
(エ) フェノールの酸性度は、エタノールの酸性度より低い。
正解は③
R1(再)I-4-2、H23 I-4-1の類似問題です。
酸の強さ(酸性度)は塩化水素>フッ化水素>トリフルオロ酢酸>酢酸>フェノール>エタノール。
(ア)×:塩化水素の方がフッ化水素よりも酸性度が高い。フッ素は電気陰性度が非常に高く、水素と
の間で強い水素結合を形成するため、水素イオンが解離しにくい。そのため、塩化水素より
も酸性度は低くなる。
(イ)〇:トリフルオロ酢酸(CF₃COOH)は、電気陰性度の高いフッ素原子の電気陰性度が高いため、誘
起効果が起こり、負電荷(アニオン)を非極在、分散させるため酢酸よりも強い酸となる。
(ウ)〇:エタノールは酢酸よりも酸性度が低い。酢酸の場合は、H+を放出することで非局在化の効果
が大きくなって、安定化する。エタノールの場合は、H+を放出しても安定化の効果は変わら
ない。このため、酢酸はエタノールよりも強い酸性を示す。
(エ)×:フェノールはベンゼン環の共鳴安定化の効果により、エタノールよりも酸性度が高い。
技術士一次試験基礎科目|Ⅰー4-3
金属材料に関する次の記述のうち、最も不適切なものはどれか。
① 硫黄を質量分率で0.3%含有する鋼材は、硫黄を質量分率で0.005%含有する鋼材に比べ被削性に優れる。
② 体心立方構造を有する金属は、結晶の単位胞に含まれる原子の数が2個である。
③ 鋼材は、結晶粒を粗大化させることにより、強度を向上させることができる。
④ 加工硬化した金属材料を加熱し再結晶させると、延性を増加させることができる。
⑤ シャルピー衝撃試験は、金属材料のじん性を評価することができる。
正解は③
鋼材は結晶粒を微細化すると強度を向上させることができ、結晶粒を粗大化すると強度は低下します。
技術士一次試験基礎科目|Ⅰー4-4
I – 4 – 4 質量分率が、すず96.5%, 銀3.00%,銅0.500%の合金組成をモル分率で示す場合、すず、銀及び銅のモル分率 [%] の最も近い値の組合せはどれか。ただし、すず、銀及び銅の原子量は、それぞれ118.7,107.8及び63.5である。
すず 銀 銅
① 97.0 2.74 0.269
② 97.0 2.34 0.662
③ 96.5 3.00 0.500
④ 95.8 3.82 0.375
⑤ 95.8 3.28 0.928
正解は⑤ ※R1I-4-3と類似問題です。
合金全体の質量を100gと仮定すると、すず、銀、銅のmol数は以下となる。
すず:96.5/118.7≒0.813mol
銀:3/107.8≒0.0278
銅:0.5/63.5≒0.00787
よって、全体のmol数は、0.813+0.0278+0.0079=0.8487であり、各物質のモル分率は、
すず:0.813/0.8487≒95.8%
銀:0.0278/0.8487≒3.28%
銅:0.00787/0.8487≒0.928%
技術士一次試験基礎科目|Ⅰー4-5
哺乳類にはある種のアミノ酸を合成する経路がない。植物と微生物にだけある経路で合成されるアミノ酸は、哺乳類が食事としてとらなければならないので必須アミノ酸といい、哺乳類が自ら合成できるアミノ酸を非必須アミノ酸という。次のうち、必須アミノ酸として、最も不適切なものはどれか。
① イソロイシン ② バリン ③ ロイシン ④ プロリン ⑤ メチオニン
正解は④
タンパク質やアミノ酸、酵素に関する問題は頻出しています。
R6I-4-6, R5I-4-5 , R4 I-4-5、R3 I-4-5,R1 I-4-6,H30 I-4-6 等
20種類のアミノ酸のうち、人や動物が体内で作ることのできない9種類が必須アミノ酸である。
必須アミノ酸は、イソロイシン、ロイシン、リジン、メチオニン、フェニルアラニン、トレオニン
(スレオニン)、トリプトファン、バリン、ヒスチジンであり、プロリンは必須アミノ酸ではない。
技術士一次試験基礎科目|Ⅰー4-6
生物の元素組成は地球表面に存在する非生物の元素組成とは著しく異なっている。すなわち、地殻に存在する約100種類の元素のうち、生物を構成するのはごくわずかな元素である。細胞の化学組成に関する次の記述のうち、最も不適切なものはどれか。
① 人体を作る総原子数の90%以上を4元素(水素,酸素,窒素、炭素)が占める。
② 生物を構成する元素の組成比はすべての生物でよく似ており、人体を作る総原子数の 60%以上が水素原子である。
③ 細胞内の主な有機小分子は、糖、アミノ酸、脂肪酸、ヌクレオチドである。
④ 核酸は細菌細胞を構成する巨大分子の中で最も重量比が大きい。
⑤ 水は細菌細胞の重量の約70%を占める。
正解は④ H30 I-4-5、H26 I-4-6と類似問題
細菌細胞を構成する巨大分子中、最も重量比が大きいのはタンパク質であり約15%を占める。核酸は約7%である。
5群 環境・エネルギー・技術に関するもの (全6問題から3問題を選択解答)
技術士一次試験基礎科目|Ⅰー5-1
令和6年度版環境・循環型社会・生物多様性白書に記載された、我が国の近年の気候変動への取組に関する次の記述のうち、最も不適切なものはどれか。
① 温室効果ガス観測技術衛星を用いて全球の温室効果ガス濃度の継続的な観測を行っている。
② 地球温暖化対策の推進に関する法律に基づく温室効果ガス排出量算定・報告・公表制度により、温室効果ガスを一定量以上排出する事業者に、毎年度、排出量を国に報告することを義務付けている。
③ オゾン層保護の観点から、CFCやHCFCからHFCsへの転換が進行したが、HFCsは強力な温室効果ガスであることから回収・適正処理等が求められている。
④ 2030年度以降新築される住宅及び建築物について、ZEH(ゼッチ)・ZEB (ゼブ) 基準の水準の省エネルギー性能の確保を目指し、政府はZEH・ZEB化に対する補助事業を実施している。
⑤ 海草や海藻といった沿岸及び海洋の生態系は、光合成を行う際に二酸化炭素を吸収・ 固定できることからブルーカーボン生態系として注目されているが、我が国の温室効果ガス排出・吸収量として国連へ報告するには至っていない。
正解は⑤
2022年度の国連への報告において、海草藻場及び海藻藻場の吸収量を合わせて算定し、約35万トンCO2
の値を報告している。(参照:令和6 年度版環境・循環型社会•生物多様性白書~第2章第3節炭素中立
(ネット・ゼロ))
技術士一次試験基礎科目|Ⅰー5-1
プラスチックごみ及びその資源循環に関する次の(ア) ~ (オ) の記述について、正誤の組合せとして、最も適切なものはどれか。
(ア)近年、マイクロプラスチックによる海洋生態系への影響が懸念されており、世界的な課題となっているが、マイクロプラスチックとは一般に10mm未満の微細なプラスチック類のことを指している。
(イ) 海洋プラスチックごみは世界中において発生しているが、2010年の発生量の推計では先進国から発生しているものが大半を占めるとされている。
(ウ) 陸域で発生したごみが河川等を通じて海域に流出されることから、陸域での不法投棄やポイ捨て撲滅の徹底や清掃活動の推進などもプラスチックごみによる海洋汚染防止の対策となる。
(エ) 中国が廃プラスチック等の輸入禁止措置を行う直前の2017年において、日本国内で排出された約900万トンの廃プラスチックのうち約250万トンがリサイクルされている一方で、海外に輸出され海外でリサイクルされたものは10万トン未満であった。
(オ)2019年6月に政府より策定された「プラスチック資源循環戦略」においては、基本的な対応の方向性を 「3R+Renewable」 として、プラスチック利用の削減,再使用, 再生利用の他に、紙やバイオマスプラスチックなどの再生可能資源による代替を図ることとしている。
ア イ ウ エ オ
①正 正 誤 正 正
②正 正 誤 正 誤
③誤 誤 正 誤 正
④誤 正 正 誤 誤
⑤誤 誤 正 正 正
正解は③
(ア)× マイクロプラスチックは5mm以下のものと定義される。
(イ)× 海洋プラスチックごみの発生量は先進国ではなく、開発途上国が上位を占めている。
(エ)× 我が国の廃プラスチック有効利用率は2023年で89%である。また、2017年に海外へ輸出されていた廃プラスチックは約140万トンである。
技術士一次試験基礎科目|Ⅰー5-3
2025年2月に閣議決定された第7次エネルギー基本計画に関する次の記述のうち、最も不適切なものはどれか。
① 生成AIの普及拡大に伴うデータセンターや半導体工場などの増加により、大幅な効率改善を見込んだとしても、将来の電力需要については増加する可能性が高いと考えられる。
② 3つのE (エネルギー安定供給,経済効率性,環境適合性) の最適なバランスを追求していくことが、エネルギー政策の基本的視点となる。
③ 我が国は、2035年度、2040年度に、温室効果ガス排出量を2013年度からそれぞれ 60%,73%削減することを目指すこととしている。
④ 2050年カーボンニュートラル実現に向けて、使える技術の中でも活用する技術の選別を進め、選択肢を限定していく必要がある。
⑤ 世界では、脱炭素に伴うエネルギー需給構造の転換を自国の経済成長に結びつけようとする動きが広がっており、脱炭素関連投資の誘致が拡大している。
正解は④
第7次エネルギー基本計画では、「2050年カーボンニュートラル実現に向けて、使える技術は全て活用するとの方針の下、あらゆる選択肢を追求していく必要がある」と記載されている。
技術士一次試験基礎科目|Ⅰー5-4
エネルギー情勢に関する次の記述の、 も適切なものはどれか 「に入る数値の組合せとして、最も適切なものはどれか
日本の総発電電力量のうち、水力を含む再生可能エネルギーの占める割合は年々増加し、 経済産業省の令和5年度 (2023年度) エネルギー需給実績によれば2023年度時点で約「ア」%である。特に、太陽光発電の導入量が近年着実に増加しているが、その理由の 1つとして、そのシステム費用の低下が挙げられる。実際、国内に設置された事業用太陽光発電のシステム費用はすべての規模で毎年低下傾向にあり、調達価格等算定委員会の 「令和7年度以降の調達価格等に関する意見」によれば、10kW以上の平均値(単純平均) は、2012年の約42万円/kWから2024年には約「イ」万円/kWまで低下している。なお、太陽光発電や風力発電の出力は、天候等の気象環境に依存する。例えば、風力発電で利用する風のエネルギーは、風速の「ウ」乗に比例する。
ア イ ウ
①23 23 2
②23 23 3
③23 30 3
④15 30 2
⑤15 23 3
正解は②
R3 I-5-3の類似問題です。
[ア]:日本の総発電電力量のうち、水力を含む再生可能エネルギーの占める割合は約23%である。
[イ]:事業用太陽光発電のシステム費用については、すべての規模で低下傾向にあり、2024 年に設置された 10kW 以上の平均値(単純平均)は 22.6 万円/kW(中央値は 21.5 万円/kW)である。
[ウ]:風力発電で利用する風のエネルギーは風速の3乗に比例する。
技術士一次試験基礎科目|Ⅰー5-5
科学史・技術史で著名な人物や出来事に関する次の記述のうち、最も不適切なものはどれか。
① フリッツ・ハーバーは大気中に存在する窒素をもとにアンモニアを合成する手法を確立したことでノーベル化学賞を受賞した。
② 朝永振一郎は、1949年に日本最初のノーベル物理学賞を、「核力の理論研究に基づく中間子の存在の予言」により受けた。
③ 明治政府がはじめて公式に参加・出品した万国博覧会は1873年のウィーン万博で、 日本庭園をはじめ優れた工芸品は、日本ブームを巻き起こしたといわれる。
④ 日本の特許第1号は、明治18年7月1日東京府堀田瑞松により出願された「堀田式錆止塗料とその塗法」だった。
⑤ アメリカの自動車王ヘンリー・フォードは、ベルトコンベヤを導入して組立工程を連続流れ作業にすることで、自動車を低コストで大量生産することに成功した。
正解は②
※科学業績に関する問題は頻出しています。
1949 年に日本最初のノーベル物理学賞を受賞したのは湯川秀樹である。朝永振一郎は、1965 年に量子
電気力学の基礎になる「繰りこみ理論」でノーベル物理学賞を受賞した。
技術士一次試験基礎科目|Ⅰー5-6
日本の科学技術政策は、1995年に制定された科学技術基本法に基づき、5年間を対象とする基本計画を策定し、その科学技術基本計画に沿って推進されてきた。2020 年の科学技術基本法改正では、イノベーションの創出を柱の1つに据え、法の名称を「科学技術・イノベーション基本法」とした。法の名称変更に伴い、現在の第6期基本計画は 「科学技術・イノベーション基本計画」として策定された。次の(ア)~(オ)は、第2 期から第6期までの基本計画における特徴的な内容を順不同で記したものである。これらを第2期から第6期までの年代の古い順から並べたものとして、最も適切なものはどれか。
(ア) ヒトに関するクローン技術や遺伝子組換え食品等を例として、科学技術が及ぼす「倫理的・法的・社会的課題」への責任ある取組の推進が明示された。
(イ) 「社会のための、社会の中の科学技術」という観点に立つことの必要性が明示され、 科学技術と社会との双方向のコミュニケーションを確立していくための条件整備などの必要性が示された。
(ウ) 人文・社会科学の厚みのある「知」の蓄積を図り、自然科学の「知」との融合による、 人間や社会の総合的理解と課題解決に資する「総合知」の創出・活用が掲げられた。
(エ) 世界に先駆けた「超スマート社会」の実現に向けた取組が 「Society 5.0」として推進する方向性が示された。
(オ) 目指すべき国の姿として、東日本大震災からの復興と再生が掲げられた。
① イ – ア – ウ – オ – エ
② ア – ウ – エ – オ – イ
③ ア – イ – オ – ウ – エ
④ イ – ア – オ – エ – ウ
⑤ ア – イ – ウ – エ – オ
正解は④
(ア)~(オ)の記述について科学技術計画の策定期は以下のとおりです。
(ア)第 3 期
(イ)第 2 期
(ウ)第 6 期
(エ)第 5 期
(オ)第 4 期
技術士二次試験受験対策
技術士二次試験受験対策資料

■技術士二次試験受験対策資料【合格する論文の黄金法則】
pdf資料
1.帰納法と演繹法
2.技術士とはなにか
3.技術士二次試験の採点基準
4.業務経歴票の作成指導
5.記述式試験の採点方法
6.試験対策
7.合格する受験生不合格になる受験生の特徴
8.建設部門、上下水道部門筆記試験模範解答集
9.全7回オンライン講座の参加
10.筆記試験再現論文の査読・講評(不合格だった場合)
技術士二次試験個別指導講座
まとめ
技術士一次試験の解説をしてきました。
基本的に技術士一次試験は過去問題を中心に勉強しましょう。
過去問題で分からないことはインターネットや参考書などで補ってください。
技術士一次試験は二次試験を受験するためのパスポートです。
早めに合格して技術士二次試験に備えましょう。
メルマガ登録はこちらから


